Qeyri-vergi gəlirləri 2025-də pikə çatdıqdan sonra aşağı düşəcək - Vergi gəlirləriı üzrə kəskin artım nəzərdə tutulur
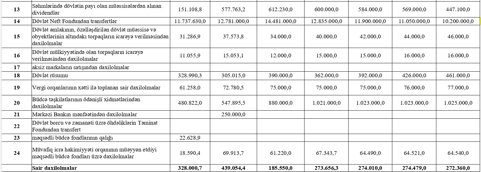
Azərbaycan büdcəsinin gəlirləri 2029-cu ilə qədər 40 milyard 103 milyard manata yüksələcək — artım vergi daxilolmalarının hesabına baş verirAzərbaycanın dövlət büdcəsinin gəlirləri 2023–2029-cu illər aralığında sabit artım göstərəcək.
Marja.az rəsmi proqnozlara istinadən xəbər verir ki, 2023-cü ildə 35 milyard 236 milyon manat olan ümumi gəlirlər 2029-cu ilə qədər 40 milyard 103 milyon manata çatacaq — bu, təxminən 4 milyard 867 milyon manatlıq artım və təxminən 13.8% artım deməkdir.
Vergi gəlirləri
Vergi daxilolmaları proqnozları üzrə daha kəskin artım nəzərdə tutulub. 2023-cü ildə 20 milyard 262 milyon manat olan vergi gəlirləri 2029-cu ildə 25 milyard 461 milyon manata çatacaq. Bu, təxminən 5 milyard 199 milyon manat artım və təxminən 25.7% artımı göstərir — yəni büdcə gəlirlərindəki ümumi artımın əsas hissəsi vergi bazasının genişlənməsindən gəlir.
İqtisadi ekspertlər vergi daxilolmalarındakı bu sıçrayışı vergi inzibatçılığının təkmilləşdirilməsi, rəqəmsallaşmanın genişləndirilməsi və kölgə iqtisadiyyatının azaldılması ilə əlaqələndirirlər.
Qeyri-vergi gəlirləri: 2025-ci ildə pik, sonra azalmalar
Qeyri-vergi gəlirləri 2023-cü ildə 14 milyard 974 milyon manat olub və 2025-ci ildə 18 milyard 709 milyon manat səviyyəsində pik həddə çatır. Lakin 2025–2029 dövründə ardıcıl azalma proqnozlaşdırılır — 2029-cu ildə qeyri-vergi gəlirləri 14 milyard 642 milyon manata geriləyəcək.
Bu, pikinin (2025) 2029-a nisbətən təxminən 4 milyard 67 milyon manatlıq, yəni təxminən 21.7% azalma deməkdir.
Bu dinamika dövlət müəssisələrinin dividendlərində, sərbəst aktivləşmələrdə və digər qeyri-vergi mənbələrində qeydə alınan dəyişikliklərlə izah edilə bilər.
İllər üzrə əsas göstəricilər (milyon / milyard manatla)

Vergi bazasının güclənməsi. Proqnozlar göstərir ki, vergilər büdcənin əsas gəlir mənbəyi olaraq daha da önə çıxacaq. Bu, fiskal dayanıqlığı artırsa da, büdcənin vergi mənbələrindən daha çox asılı hala gəlməsi riskini də artırır. Bu səbəbdən hökumətin vergi siyasətində balansı qoruması — həm toplanmanı artırmaq, həm də iqtisadi subyektlərə yükləri optimallaşdırmaq — vacibdir.
Qeyri-vergi gəlirlərinin enişi. Qeyri-vergi gəlirləri 2025-ci ildə pikə çatdıqdan sonra aşağı düşür; bu, dövlət müəssisələrindən daxilolmaların, dividendlərin və digər qeyri-vergi mənbələrinin əvvəlki səviyyələrdə davam etməməsi ilə bağlıdır. Nəticədə, büdcədə gəlir strukturu daha çox vergi yönümlü olacaq.
Mümkün risklər. Vergi daxilolmalarının artımı iqtisadi dövrilikdən təsirlənə bilər — tərs iqtisadi şoklar zamanı vergi gəlirlərində kəskin enmələr büdcə tarazlığını çətinləşdirə bilər. Qeyri-vergi mənbələrinin azalması bu riskləri daha da gücləndirir.
Tövsiyələr
Dövlət müəssisələrinin gəlirliliyini artırmağa yönəlmiş struktur islahatları sürətləndirilməlidir.
Vergi inzibatçılığı ilə yanaşı, vergi yükünün ədalətli və rəqabətqabiliyyətli saxlanılması vacibdir.
Büdcə gəlirləri şaxələndirilməli — qeyri-neft, xidmət və rəqəmsal iqtisadiyyatdan əlavə gəlirlər prioritetləşdirilməlidir.
Nəticə
Rəsmi proqnozlar 2023–2029 illər üçün büdcə gəlirlərində müsbət dinamikanı göstərir — ümumi gəlirlər 35 milyard 236 milyon manatdan 40 milyard 103 milyon manata yüksələcək. Lakin bu artımın təməlində əsasən vergi daxilolmaları dayanır; qeyri-vergi gəlirlərində isə pikdən sonra azalma gözlənilir. Bu mənzərə dövlətin fiskal strategiyasını daha ehtiyatlı və diversifikasiyaedici yanaşmaya sövq edir.
Müştərilərin xəbərləri
SON XƏBƏRLƏR
- 2 həftə sonra
- 14 saat sonra
- 10 saat əvvəl
-
- 1 gün əvvəl
- 1 gün əvvəl
-
1 gün əvvəl
Coca-Colanın rəhbəri Türk Dünyasını əhatə edən mükafata layiq görülüb
-
1 gün əvvəl
Nazir Rəşad Nəbiyev “AMD” şirkətinin baş vitse-prezidenti ilə görüşüb
- 1 gün əvvəl
-
1 gün əvvəl
Azərbaycanın ilk premium smart yaşayış kompleksi - İNŞASINA BAŞLANILIR
- 1 gün əvvəl
-
1 gün əvvəl
Balaxanıdakı çay evi - Həyat Sığortası tərəfindən ödənilmiş borc
-
1 gün əvvəl
Azərbaycan əhalisinin 11 ayda 81 milyard manata yaxın gəlir əldə etdiyi bildirilir
Son Xəbərlər
Azərbaycanda Vakansiyalar - Azvak.az
Azərbaycan neftinin son qiyməti
Daha 606 nəfər hərbi qulluqçu mənzillə təmin olunacaq
Havanın temperaturu 5-7 dərəcə enəcək - XƏBƏRDARLIQ
Bu il Azərbaycanda hər gün orta hesabla 57 boşanma olub
Ən çox oxunanlar
Balaxanıdakı çay evi - Həyat Sığortası tərəfindən ödənilmiş borc
Azərbaycanın avtomobil istehsalında tənəzzül dərinləşir
Noyabrda dövlət büdcəsinin profisiti azalıb
Barclays 2026-cı il üçün Brent neftinin qiymət proqnozunu açıqladı
Dekabrın 13-də gözlənilən hava şəraiti
























.jpg)

