Sığorta şirkətlərinin 2021-ci ildəki yığımları və ödənişləri açıqlandı - SİYAHI
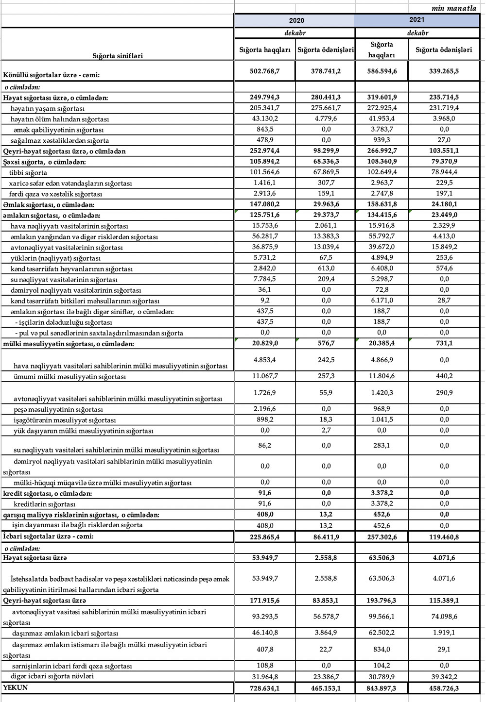
2021-ci il üzrə sığorta icmalı açıqlanıb.Mərkəzi Bank 2021-ci ildə sığortaçılar tərəfindən hesablanmış sığorta haqları və sığorta ödənişləri barədə məlumatları dərc edib.
Marja.az Mərkəzi Banka istinadən təqdim edir.

Müştərilərin xəbərləri
SON XƏBƏRLƏR
- 1 həftə sonra
- 1 həftə sonra
- 4 gün sonra
-
-
17 saat əvvəl
"Top" tamamilə Kiyev və onun Avropa sponsorlarının tərəfindədir"
- 17 saat əvvəl
- 18 saat əvvəl
-
18 saat əvvəl
Cahan Şirkətlər Qrupuna daxil olan "Enna" şirkəti "Dayaq" mükafatına layiq görülüb
-
18 saat əvvəl
Nərimanovda premium mənzil arzulayanlar üçün 36 ayadək faizsiz kredit təklifi davam edir
-
18 saat əvvəl
“Naxtel” abunəçilərinin digər mobil operatorlara miqrasiyası uğurla tamamlanıb
-
18 saat əvvəl
Şikayətlərin yarıya yaxını internet və telefon rabitəsi xidmətlərilə bağlı olub
- 19 saat əvvəl
- 19 saat əvvəl
Son Xəbərlər
Biznesiniz üçün QISA NÖMRƏ (Ulduz nömrə) alın
Azərbaycanda Vakansiyalar - Azvak.az
Ödənişsiz investisiya seminarı: Yatırımda təcrübə qazan
"Top" tamamilə Kiyev və onun Avropa sponsorlarının tərəfindədir"
Bakcell-in lotereyasında 11-ci lüks avtomobil uduldu!
Nərimanovda premium mənzil arzulayanlar üçün 36 ayadək faizsiz kredit təklifi davam edir
Azərbaycan Dəmir Yolları "Dərnəgül" dayanacağını tikir
Vəhşi heyvan hücumları ilə bağlı fermerlərə çağırış edildi
"Balıq ehtiyatlarının bərpası üçün Xəzərə və daxili su hövzələrinə 17-35 milyon ədəd körpə balıq buraxmağa ehtiyac var"
10 illik proqramı 3 ilə mənimsəmək imkanı - VİDEO+FOTO
Ucuz təbii qaz Avropanın sənaye böhranını həll etmədi
Xalq Bankda yeni təyinatlar













.jpg)



.jpg)


