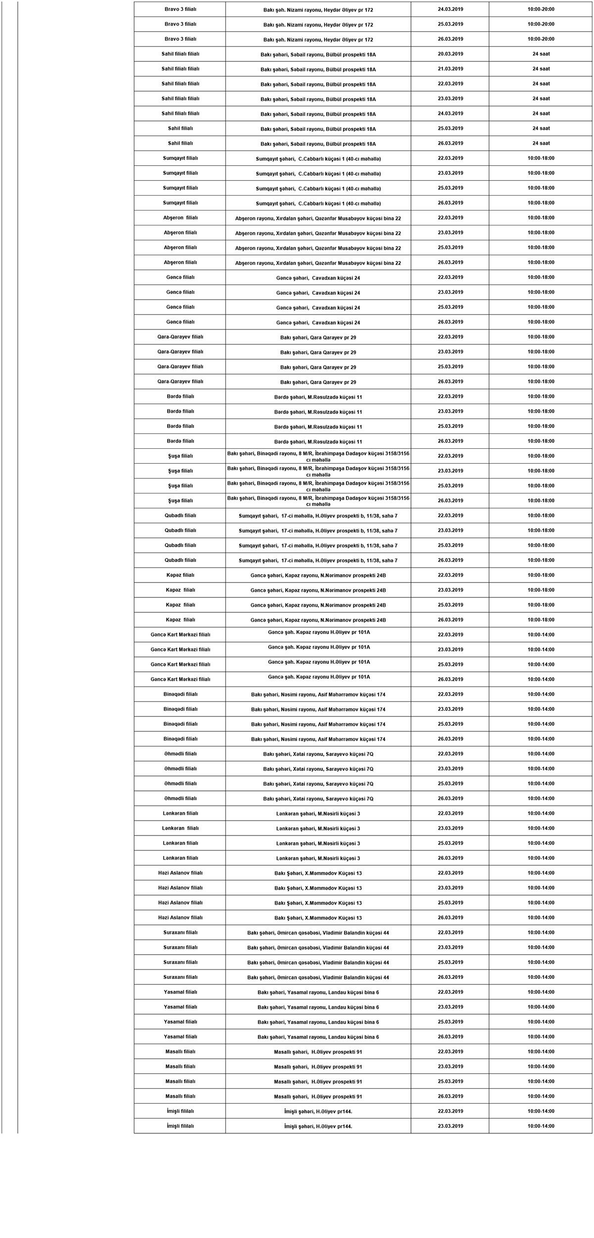
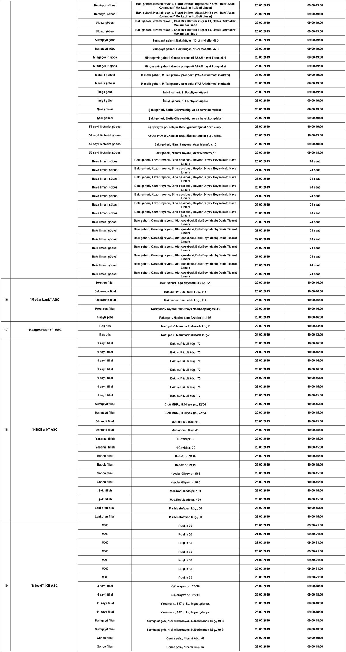
24 bankın 152 filial və şöbəsi gücləndirilmiş iş rejimində çalışacaq - SİYAHI
Ölkə əhalisinin və çoxsaylı turistlərin Novruz bayramı ilə əlaqədar qeyri-iş günləri ərzində bank xidmətlərindən rahat faydalanmasının təmin edilməsi məqsədilə 24 bankın 152 filial və şöbəsi gücləndirilmiş iş rejimində çalışacaq.
Bu barədə "Marja" Maliyyə Bazarlarına Nəzarət Palatasından bildirilib.
Bayram günləri ərzində ölkəmizə əhəmiyyətli turist axınının olacağını nəzərə alaraq onların valyuta mübadiləsi əməliyyatlarını rahat həyata keçirə bilmələri üçün Maliyyə Bazarlarına Nəzarət Palatası paytaxtda və əsas turizm bölgələrində yerləşən bankların filial və şöbələrinə gücləndirilmiş iş rejimində çalışmağı tövsiyə edib.
5 bankın Sumqayıt, Xırdalan, Gəncə, Lənkəran, Şəki, Xaçmaz, Quba, Bərdə, Naxçıvan və digər şəhərlərdə yerləşən 46 filial və şöbəsi müştərilərə xidmət göstərəcək.
Bakıda yerləşən 8 bankın 13 filial və şöbəsi 24/7 rejimində fəaliyyət göstərəcək.
Bundan əlavə, bayram günlərində Palatanın əməkdaşlarından ibarət xüsusi monitorinq qrupu fəaliyyət göstərəcək. Yarana biləcək hər hansı bir problemlə bağlı maliyyə xidmətləri istehlakçıları Palatada yaradılmış qaynar xəttə müraciət edə bilərlər:
Koordinator:
Azər Quluyev
Tel: 493-50-58 (dax:357);
Mob: +994 70 908 62 21
Mail: [email protected]
20-26 mart tarixlərində çalışacaq bank filial və şöbələrinin siyahısı və ünvanları
Müştərilərin xəbərləri
SON XƏBƏRLƏR
-
10 saat əvvəl
Mərkəzi Bank 2026-cı ilin ilk iş gününün rəsmi məzənnəsini açıqladı
- 11 saat əvvəl
- 11 saat əvvəl
-
- 11 saat əvvəl
-
11 saat əvvəl
Dövlət şirkətlərini və publik hüquqi şəxsləri monitorinq edəcək agentlik yaradıldı - FƏRMAN
-
11 saat əvvəl
"Qızıl Fond üçün 11 milyard dollar gəlir formalaşdırıb" - AZƏRBAYCAN FONDUNUN DİREKTORU
- 11 saat əvvəl
-
11 saat əvvəl
Azad edilmiş ərazilərdə bir sıra obyektlər üçün elektrikə qoşulma xidməti pulsuz oldu
-
11 saat əvvəl
Dünya Bankı qiymətləndirməsində Azərbaycanın maliyyə xidmətləri üzrə 101 ölkə arasında zirvədə
- 12 saat əvvəl
-
12 saat əvvəl
Ölkədə ilk dəfə - “PAŞA Bank” yeni POS nağdlaşdırma funksiyasını istifadəyə verdi
-
12 saat əvvəl
Hər 20 litr Aİ-92 benzin və ya 10 litr dizel 1 manat baha başa gələcək
Son Xəbərlər
Mərkəzi Bank 2026-cı ilin ilk iş gününün rəsmi məzənnəsini açıqladı
6,3 milyard manatlıq defisiti olan "Azərbaycan Dəmir Yolları" 331 investordan 30 milyon dollar borc aldı
"Hazırda yumurta Gürcüstanda 43 qəpiyə, Türkiyədə 33 qəpiyə, Azərbaycanda isə 16-19 qəpiyə satılır. Nəticələr, çox əladır"
“Azercell Könüllüləri” uşaqlara bayram sevinci yaşadıb
"Qızıl Fond üçün 11 milyard dollar gəlir formalaşdırıb" - AZƏRBAYCAN FONDUNUN DİREKTORU
Dünya Bankı qiymətləndirməsində Azərbaycanın maliyyə xidmətləri üzrə 101 ölkə arasında zirvədə
Birbank-da əlavə 3 ay taksitlə bayramı dolu-dolu yaşayın
Ən çox oxunanlar
Dövlət bir sıra məhsul və xidmətlər üzrə qiymətlərə dəyişiklik etdi
“SİMA İmza”nın tərəfdaş sayı 100-ə çatdı
ABB-dən daha 3 hesabat!
Azərbaycanda Aİ-92 markalı benzin və dizel bahalaşdı























