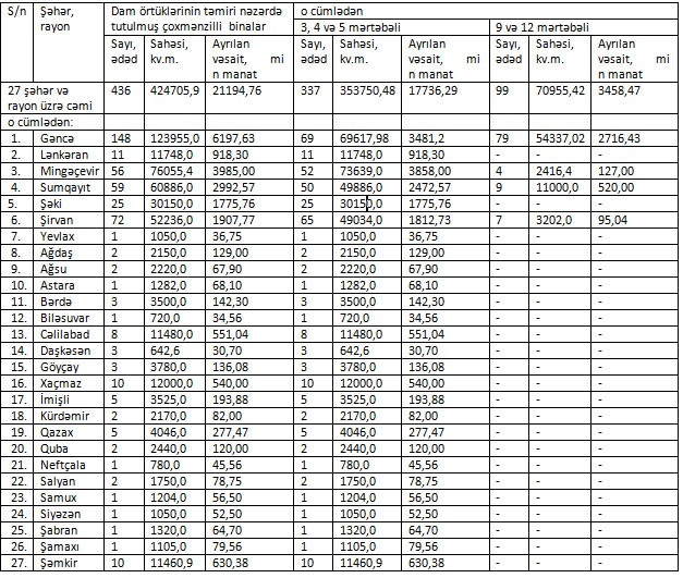
436 binanın dam örtüyü təmir ediləcək - 21 MİLYON MANATLIQ SƏRƏNCAM
Azərbaycan Respublikasının Prezidenti İlham Əliyev, "Azərbaycan Respublikasının şəhər və rayonlarında çoxmənzilli binaların dam örtüklərinin təmiri ilə bağlı əlavə tədbirlər haqqında" Sərəncam imzalayıb.
"Marja" xəbər verir ki, Sərəncama əsasən, Azərbaycanın 27 şəhər və rayonunda 436 çoxmənzilli binanın dam örtüyünün təmiri məqsədi ilə “Azərbaycan Respublikasının 2018-ci il dövlət büdcəsi haqqında” Azərbaycan Respublikası Qanununun tətbiqi ilə bağlı bir sıra məsələlər barədə” Azərbaycan Respublikası Prezidentinin 2017-ci il 25 dekabr tarixli 1756 nömrəli Fərmanının 1.14.3.3.9-cu (islahatlarla bağlı xərclər) yarımbəndində nəzərdə tutulan vəsaitdən 21 194 760 (iyirmi bir milyon bir yüz doxsan dörd min yeddi yüz altmış) manat bu Sərəncama əlavə olunmuş siyahıya uyğun şəhər, rayon icra hakimiyyətlərinə ayrılıb.
Dam örtüklərinin təmiri nəzərdə tutulmuş çoxmənzilli binaların şəhər və rayonlar üzrə bölgüsünə dair siyahı
Müştərilərin xəbərləri
SON XƏBƏRLƏR
- 1 həftə sonra
- 1 həftə sonra
- 1 gün sonra
-
-
22 d. əvvəl
Qax və Zaqatalada təsərrüfatlarına zərər dəymiş fermerlərə 22 268 manat sığorta ödənilib
- 33 d. əvvəl
- 38 d. əvvəl
-
46 d. əvvəl
"Alphabet" şirkəti "Intersect Power"ı 4,75 milyard dollara satın alır
- 1 saat əvvəl
- 1 saat əvvəl
- 1 saat əvvəl
-
1 saat əvvəl
Zelenski: Mükəmməl deyil, amma 20 maddəlik sülh planı mövcuddur
- 15 saat əvvəl
Son Xəbərlər
Biznesiniz üçün QISA NÖMRƏ (Ulduz nömrə) alın
Azərbaycanda Vakansiyalar - Azvak.az
Ödənişsiz investisiya seminarı: Yatırımda təcrübə qazan
"BOA Agency"də növbədənkənar ümumi yığıncağı keçiriləcək
Elektron siqaretlər qadağan olunur - Sahibkarlar xəbərdarlıq edir: Bizneslər bağlanacaq, insanlar işsiz qalacaq
Qızılın qiyməti 4 500 dollara yaxın səviyyədə yeni rekord həddə çatıb; ABŞ–Venesuela gərginliyi diqqət mərkəzindədir
Ən çox oxunanlar
Zelenski: Mükəmməl deyil, amma 20 maddəlik sülh planı mövcuddur
Dövlət Vergi Xidmətinin rəisinə 2 yeni müşavir təyin edilib
"Azərbaycan Dəmir Yolları"da 6 milyard 263 milyon manatlıq defisit - ÖTƏN İL ZƏRƏRİ 18 DƏFƏ ARTIB
Elektron siqaretlərin idxalı və satışı ilə məşğul olan şirkətlər ciddi narahatdırlar – “DAHA UZUN ZAMANA EHTİYACIMIZ VAR”
Bakcell “Media Savadlılığı” Konfransının innovasiya tərəfdaşıdır
Dolların sabah üçün rəsmi məzənnəsi müəyyən olunub






















