Hansı sığorta şirkəti nə qədər haqq toplayıb? - SİYAHI
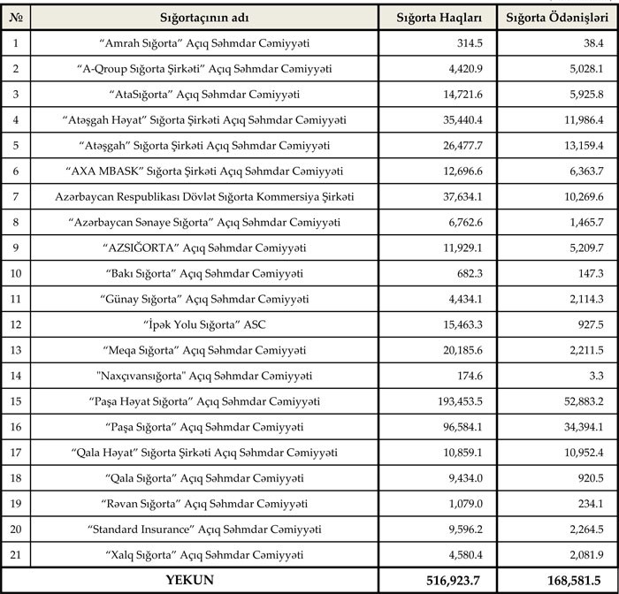
2018-ci ilin yanvar-avqust ayları ərzində sığorta şirkətləri tərəfindən hesablanmış sığorta haqları və sığorta ödənişləri
21.09.2018
13:55
Müştərilərin xəbərləri
SON XƏBƏRLƏR
- 1 həftə sonra
- 1 həftə sonra
- 5 gün sonra
-
-
52 d. əvvəl
Rusiyada təsisçiləri Azərbaycandan olan şirkətlərin sayı artıb
- 1 saat əvvəl
-
1 saat əvvəl
Xarici vətəndaşlar üçün bəzi qoruq və muzeylərə giriş qiyməti dəyişir
- 1 saat əvvəl
- 1 saat əvvəl
- 2 saat əvvəl
-
2 saat əvvəl
Rəşid Behbudovun itmiş rəsmi ABB-nin dəstəyi ilə yenidən yaradıldı!
- 2 saat əvvəl
-
3 saat əvvəl
Sahibkarın 4 milyon manatını ələ keçirməkdə təqsirləndirilən dəstənin məhkəməsi başlayıb
Son Xəbərlər
Biznesiniz üçün QISA NÖMRƏ (Ulduz nömrə) alın
30.12.2025
14:44
Azərbaycanda Vakansiyalar - Azvak.az
30.12.2025
12:31
Ödənişsiz investisiya seminarı: Yatırımda təcrübə qazan
24.12.2025
14:44
Rusiyada təsisçiləri Azərbaycandan olan şirkətlərin sayı artıb
18.12.2025
17:42
ABB İnvest “İlin investisiya şirkəti” seçildi
18.12.2025
16:41
Zərgərlik sahəsində əyar nəzarəti sistemi formalaşdırılır
18.12.2025
16:26
Ən çox oxunanlar
Rəşid Behbudovun itmiş rəsmi ABB-nin dəstəyi ilə yenidən yaradıldı!
18.12.2025
16:21
Bakı Limanında rekord nəticə
18.12.2025
16:09
Sahibkarın 4 milyon manatını ələ keçirməkdə təqsirləndirilən dəstənin məhkəməsi başlayıb
18.12.2025
15:22
"FINCA Azerbaijan"ın dollar istiqrazlarına 54 investordan 54 sifariş - HƏRRACIN NƏTİCƏSİ
18.12.2025
15:08
6 faydalı qazıntı yatağı hərraca çıxarılacaq
18.12.2025
14:48
Paşinyan Azərbaycandan Ermənistana benzin tədarükünü alqışladı
18.12.2025
14:40
"MJ Financial Services" BOKT-ın nizamnamə kapitalı 16 dəfə artırılır
18.12.2025
14:06
Bakı Limanında konteyner aşırılması 100 mini keçdi
18.12.2025
12:48














.jpg)





.jpg)

