Depozitlərdə dollarlaşma aşağı düşür
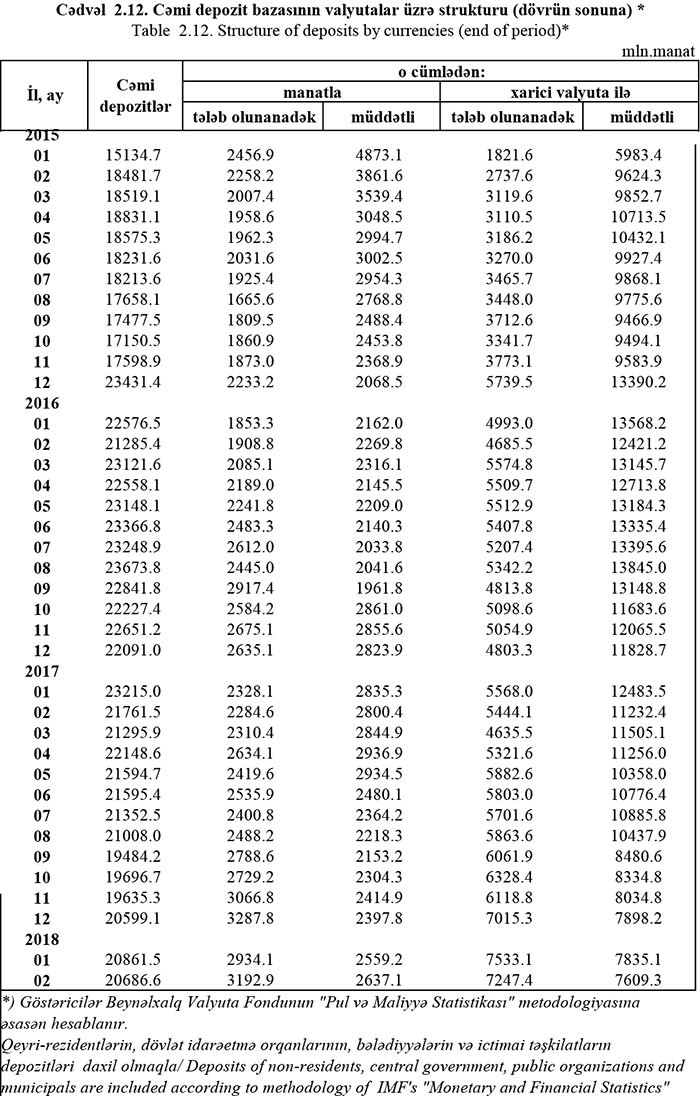
2018-ci ilin Fevral ayının sonuna banklarda cəmi depozitlər 20 milyard 686.6 milyon manat təşkil edib.
"Marja" Mərkəzi Bankın statistikasına istinadən xəbər verir ki, depozitərin 5 milyard 830 milyon manatı və ya 28,2%-i milli valyutada, 14 milyard 856,7 milyon manatı və ya 71,8%-i xarici valyutada olub.
Yanvar ayında bu nisbətlər müvafiq olaraq 26,3% və 73,7% təşkil etmişdi.
Müştərilərin xəbərləri
SON XƏBƏRLƏR
- 3 həftə sonra
-
7 d. əvvəl
"Belə gedərsə, biz bəlkə də ilin sonuna qədər 1 milyard rəqəminə də çatacağıq"
- 38 d. əvvəl
-
-
1 saat əvvəl
"Sitalçayda acınacaqlı vəziyyət - quşçuluq təsərrüfatları fəaliyyətlərini dayandırmaq üzrədilər"
-
1 saat əvvəl
ABB Enerji effektivliyi fondunun vəsaiti hesabına güzəştli kreditlər verəcək
-
1 saat əvvəl
İldə cəmi 99 AZN ödəməklə evinizi sığortalayın, dəyən zərəri PAŞA Sığorta qarşılasın
- 1 saat əvvəl
- 1 saat əvvəl
- 1 saat əvvəl
-
2 saat əvvəl
“Rabitəbank” qanunları pozub, barəsində icrası məcburi sərəncam verilib
- 2 saat əvvəl
-
2 saat əvvəl
Zərəri 150 000 manata qədər qarşılayan sığorta var, qiyməti də 79 manatdan başlayır
Son Xəbərlər
AzVak-da elan yerləşdirib, daha tez işçi tapın !
Dolların sabah üçün rəsmi məzənnəsi müəyyən olunub
İldə cəmi 99 AZN ödəməklə evinizi sığortalayın, dəyən zərəri PAŞA Sığorta qarşılasın
Maydan Bakı–Belqrad–Bakı marşrutu üzrə uçuşlar başlayır - AZAL və “Air Serbia” tərəfdaşlığına başlayıb
Bakcell ilə ingilis dilini “Singit” tətbiqində öyrən
Ən çox oxunanlar
Azərkosmos-dan 2 ayda 3 milyon dollarlıq ixrac
Zərəri 150 000 manata qədər qarşılayan sığorta var, qiyməti də 79 manatdan başlayır
"PAŞA Bank"ın səhmlərini almaq istəyənlərin nəzərinə - 13 Apreldə abunə yazılışı başlayır
İxracdan ən çox pul qazanan özəl Azərbaycan şirkətləri - SİYAHI
Qızıl 1-ci, fındıq 2-ci, mis filizləri 3-cü yeri tutub - Qeyri-neft sektoru ixracı üzrə yeni rəqəmlər
























