Azərbaycanın mebel şirkətinin satışı kəskin artıb, 102 milyon manatdan çox gəlir əldə edib
1996-cı ildə əsası qoyulmuş və mebellərin istehsalı ilə məşğul olan "Embawood" şirkəti 2024-cü ili 2 milyon 281 min manat xalis mənfəət ilə başa vurub. Halbuki, Şirkət 2023-cü ili 434 min manat xalis mənfəət ilə bağlamışdı. Beləliklə, "Embawood" şirkətinin xalis mənfəəti 2024-cü ildə 2023-cü illə müqayisədə 1 milyon 847 min manat və ya 5,2 dəfə artıb.
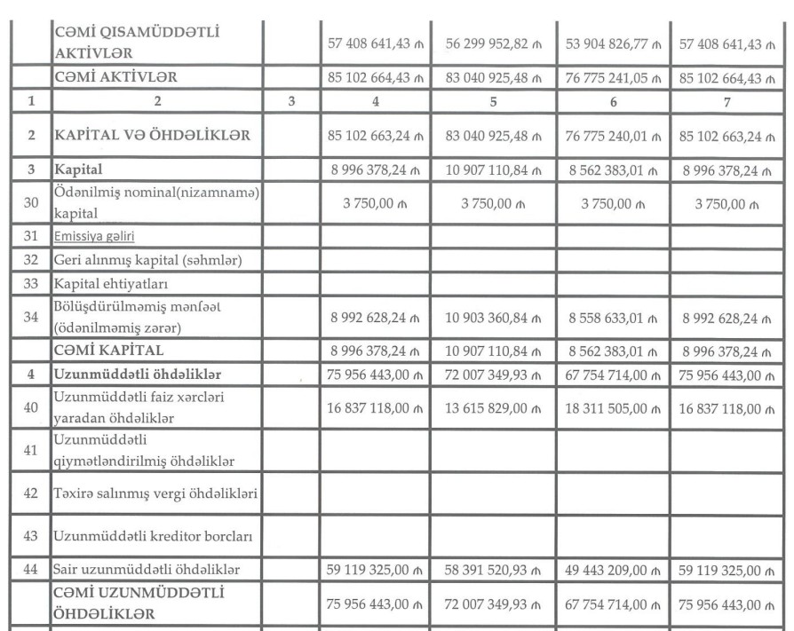
Marja.az xəbər verir ki, "Embawood" şirkətinin satışdan gəlirləri 2023-cü ildə 59 milyon 726 min manat ikən, 2024-cü ildə 102 milyon 430 min manata yüksəlib (42 milyon 704 min manat və ya 71,5% artıb).
2024-cü ildə "Embawood" şirkətinin cəmi əməliyyat gəlirləri 102 milyon 436 min manat cəmi əməliyyat xərcləri 99 milyon 585 min manat, əməliyyat mənəəti 2 milyon 851 min manat təşkil edib. Şirkət 2024-cü ildə 570 min manat mənfəət vergisi ödəyib.
31 dekabr 2024-cü il tarixində "Embawood" şirkəti 83 milyon 41 min manat cəmi aktivlərə malik olub. Şirkət 2023-cü ilin sonunda 85 milyon 102 min manat cəmi aktivlərə malik idi.
Müştərilərin xəbərləri
SON XƏBƏRLƏR
- 1 ay sonra
- 2 həftə sonra
- 7 saat sonra
-
- 6 saat əvvəl
-
6 saat əvvəl
Azərbaycanda süd istehsalı həcminin 10 %, ət istehsalının 20 % artırılması nəzərdə tutulur
- 6 saat əvvəl
-
6 saat əvvəl
SOCAR Çn şirkətilə “Abşeron” layihəsi çərçivəsində mümkün əməkdaşlığı nəzərdən keçirib
-
6 saat əvvəl
Avenue 8 öz fərqli memarlıq fəlsəfəsi ilə WUF 13 forumunda – VİDEO
-
7 saat əvvəl
Unicapital İnvestisiya Şirkəti 2025-ci ilin maliyyə nəticələrini açıqlayıb
-
7 saat əvvəl
“Avrora Qrup” Qurban Bayramı münasibətilə aztəminatlı ailələrə bayram sovqatı çatdırıb
-
7 saat əvvəl
PAŞA Bank “Nargis” Fondunun Qurban bayramı xeyriyyə aksiyasını dəstəkləyib
-
7 saat əvvəl
Bank of Baku-dan şəhid və qazi övladları üçün “RoboKəşf” təşəbbüsü – təlim və ekskursiya
Son Xəbərlər
Azvak.az-da yeni iş elanları
55 manatdan bank səhmdarı olmaq fürsəti: SON 18 GÜN
Bank sərfəli şərtlərlə əmanət qəbuluna davam edir
Azərbaycanda beynəlxalq sığorta forumu keçiriləcək
Avenue 8 öz fərqli memarlıq fəlsəfəsi ilə WUF 13 forumunda – VİDEO
“Avrora Qrup” Qurban Bayramı münasibətilə aztəminatlı ailələrə bayram sovqatı çatdırıb
Ən çox oxunanlar
Bir neçə banka borcu olanlar üçün fürsət – illik 5%-dək endirim!
Dolların 1 iyun üçün rəsmi məzənnəsi müəyyən olunub
"Kristal"ın bütün satış ofisləri bayram günlərində də açıq olacaq!
İnvestorlara milyonlarla manat borcu olan “FINCA Azerbaijan”ın bir sıra maliyyə göstəriciləri pisləşib
Bayram günlərində bankların və “Azərpoçt”un bəzi filial və şöbələri fəaliyyət göstərəcək -SİYAHI
"Ötən il BOKT “İnternational” bazardakı mövqeyini daha da möhkəmləndirib" - MÜSAHİBƏ



















.jpg)

