Dünyada buğda ucuzlaşsa da, Azərbaycanda un istehsalçıları qiymətləri artırıb
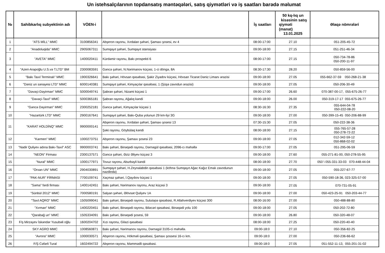
50 kq-lıq un kisəsinin qiymətləri 50 qəpyədək artırılıb.İqtisadiyyat Nazirliyi yanında Antiinhisar və İstehlak Bazarına Nəzarət Dövlət Xidməti 10 fevral 2025-ci il tarixinə "Un istehsalçılarının topdansatış məntəqələri, satış qiymətləri" bardə məlumatları açıqlayıb.
Marja.az-ın əvvəlki qiymətlər ilə apardığı müqayisəsi göstərir ki, son 1 ayda un qiymətləri artırılıb.
Belə ki, 14 Yanvar 2025-ci il tarixində açıqlanmış məlumatda 50 kq-lıq un kisəsinin satış qiymətiləri 26 manat - 28,20 manat civarında ikən, dünüən açıqlanan qiymətlərdən məlum olur ki, artıq un istehsalçılarının topdansatış satış qiymətləri 26,50 manat 28,20 manat civarındadır. Unun kisəsini 27 manatın üzərində təklif edən əksər istehsalçılar qiymətləri 10-50 qəpik civarında artırıblar.
Qeyd edək ki, dünya bazarlarda buğdanın qiyməti artmayıb, əksinə düşüb. Birləşmiş Millətlər Təşkilatının (BMT) Ərzaq və Kənd Təsərrüfatınnın (FAO) Taxıl Qiymətləri İndeksinə görə, taxıl qiymətləri yanvar ayında aylıq müqayisədə 0,3 faiz artsa da, illik müqayisədə 6,9 faiz azalıb. Yanvar ayında buğdanın ixrac qiymətləri cüzi azalma göstərib. Zəif idxal tələbi qiymətlərə təzyiq göstərib.
Un istehsalçılarının topdansatış məntəqələri, satış qiymətləri və iş saatları barədə məlumat - 10.02.2025

Un istehsalçılarının topdansatış məntəqələri, satış qiymətləri və iş saatları barədə məlumat - 10.01.2025

Müştərilərin xəbərləri
SON XƏBƏRLƏR
- 1 həftə sonra
- 1 həftə sonra
- 6 gün sonra
-
-
4 saat əvvəl
Bakcell “İnklüzivlikdə İnnovativ Həllər” tədbirinə dəstək oldu
-
6 saat əvvəl
33 min 615 baş heyvanın alınmasına 89,8 milyon manat məbləğində güzəşt tətbiq edilib
-
6 saat əvvəl
İllik gəlirlilik dərəcəsi 15% olan istiqrazlar ticarətə buraxılacaq - TARİX
- 6 saat əvvəl
-
6 saat əvvəl
"Dino Park": 3 və daha çox uşağı olan ailələr üçün 20% endirim tətbiq olunacaq
-
6 saat əvvəl
Süd məhsullarının istehsalçılarına ubsidiyaların verilməsi planlaşdırılır
-
7 saat əvvəl
Avropa bankı Qafqazın böyük avtomobil distribütor şirkətinə 25 milyon avro kredit ayırır
-
7 saat əvvəl
Trendyol ölkənin ilk inklüziv kafesi “Kashalata”nın inkişafına dəstəyini davam etdirir
-
7 saat əvvəl
Qızılın qiyməti üzrə dünyanın ən yaxşı proqnoz verən qurumları - SİYAHI
Son Xəbərlər
Biznesiniz üçün QISA NÖMRƏ (Ulduz nömrə) alın
Azərbaycanda Vakansiyalar - Azvak.az
Ödənişsiz investisiya seminarı: Yatırımda təcrübə qazan
Bakcell “İnklüzivlikdə İnnovativ Həllər” tədbirinə dəstək oldu
Ən çox oxunanlar
Avropa bankı Qafqazın böyük avtomobil distribütor şirkətinə 25 milyon avro kredit ayırır
Trendyol ölkənin ilk inklüziv kafesi “Kashalata”nın inkişafına dəstəyini davam etdirir
"Azər-Türk Bank"ın kredit reytinqləri təsdiqlənib - BANK YENİ STRATEGİYA HAZIRLAYIR











.webp)















